Официальное опубликование правовых актов
ОФИЦИАЛЬНОЕ ОПУБЛИКОВАНИЕ
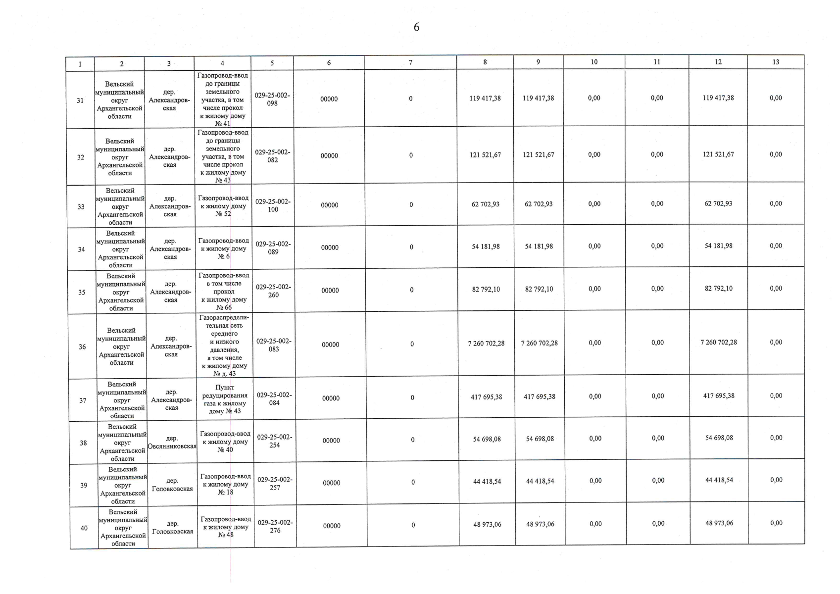
Постановление агентства по тарифам и ценам Архангельской области от 19.02.2026 № 6-п/1
"Об утверждении размера экономически обоснованных расходов ООО "ВельскГазСервис" на выполнение мероприятий по технологическому присоединению в рамках мероприятий по догазификации за 4 квартал 2025 года"
(Зарегистрирован 24.02.2026 № 29-2026-313/104)
Номер опубликования: 2901202602240002
Дата опубликования: 24.02.2026
Страница №8 из 9:
Увеличить