Официальное опубликование правовых актов
ОФИЦИАЛЬНОЕ ОПУБЛИКОВАНИЕ
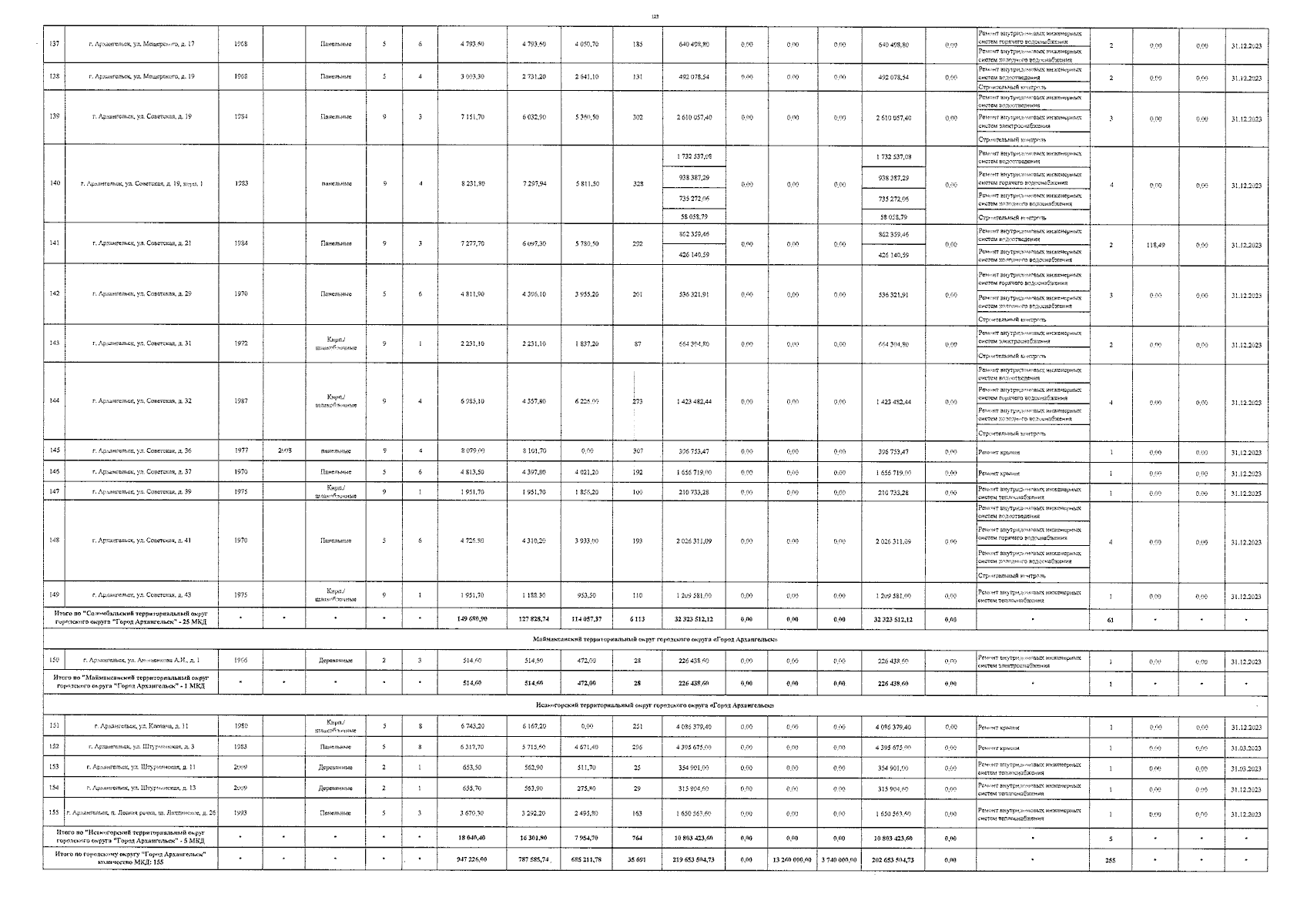
Постановление Министерства топливно-энергетического комплекса и жилищно-коммунального хозяйства Архангельской области от 23.12.2025 № 222-п
"О внесении изменений в краткосрочный план реализации региональной программы капитального ремонта общего имущества в многоквартирных домах, расположенных на территории Архангельской области, на 2023 – 2025 годы"
(Зарегистрирован 23.12.2025 № 29-2025-203/1401)
Номер опубликования: 2901202512240001
Дата опубликования: 24.12.2025
Страница №142 из 173:
Увеличить