Официальное опубликование правовых актов
ОФИЦИАЛЬНОЕ ОПУБЛИКОВАНИЕ
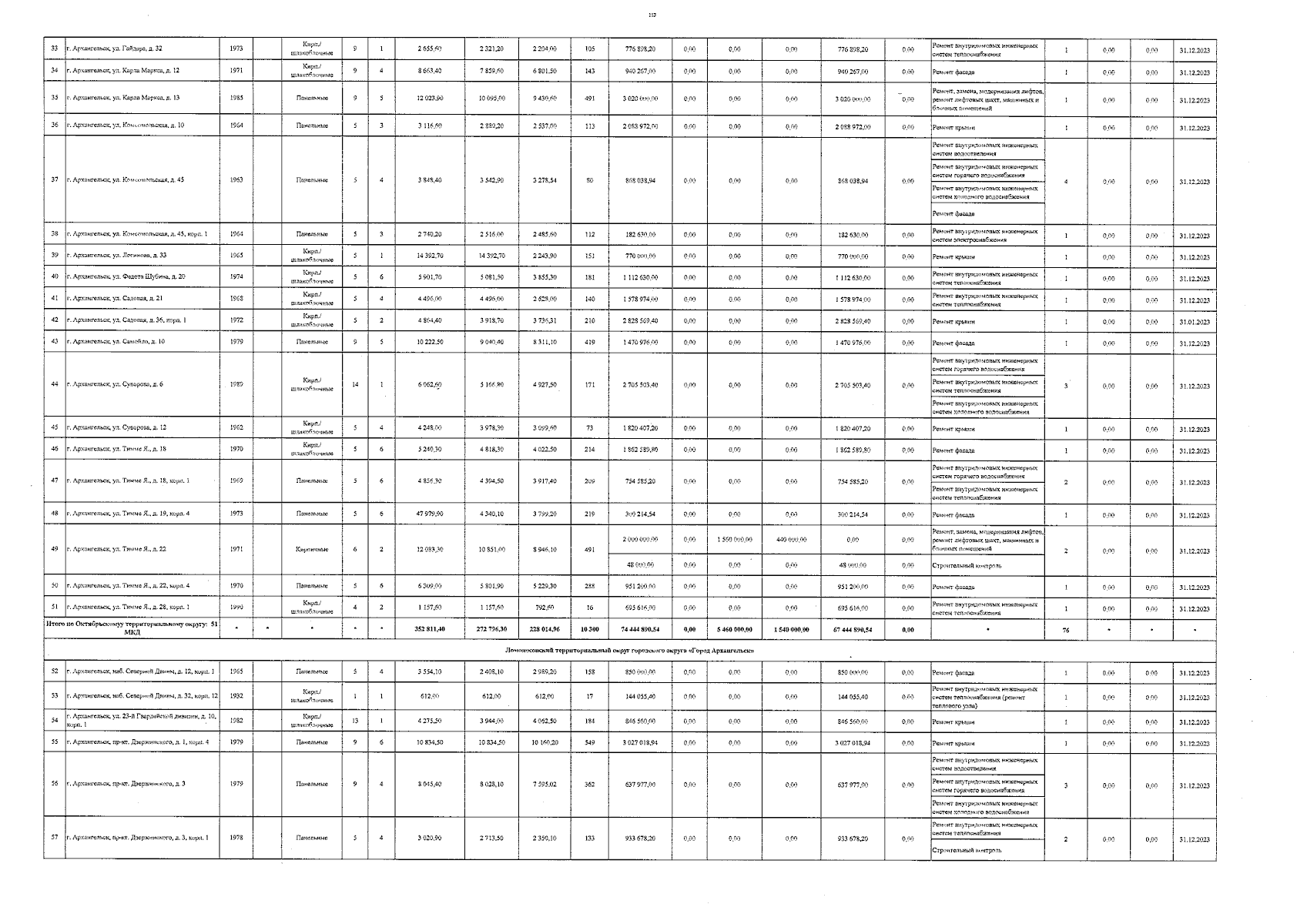
Постановление Министерства топливно-энергетического комплекса и жилищно-коммунального хозяйства Архангельской области от 12.03.2025 № 28-п
"О внесении изменений в краткосрочный план реализации региональной программы капитального ремонта общего имущества в многоквартирных домах, расположенных на территории Архангельской области, на 2023 – 2025 годы"
(Зарегистрирован 12.03.2025 № 29-2025-203/229)
Номер опубликования: 2901202503170009
Дата опубликования: 17.03.2025
Страница №114 из 183:
Увеличить