Официальное опубликование правовых актов
ОФИЦИАЛЬНОЕ ОПУБЛИКОВАНИЕ
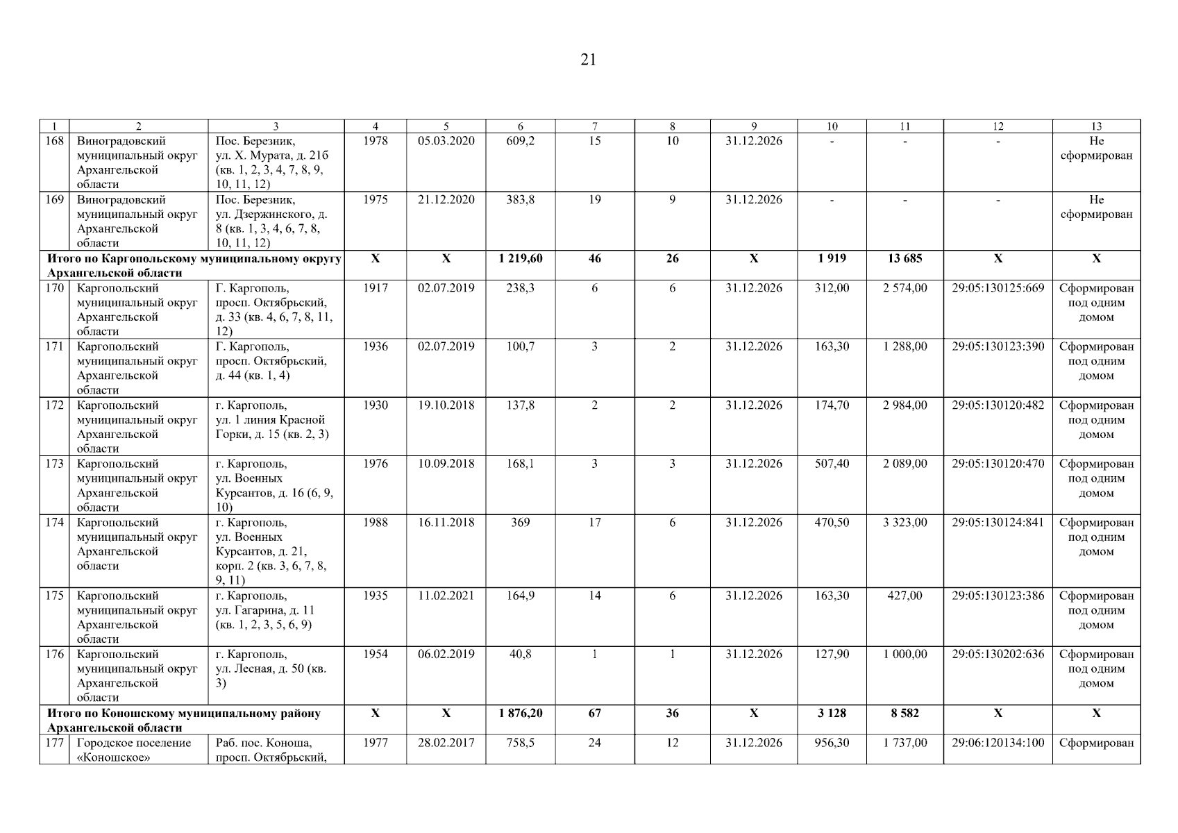
Постановление Правительства Архангельской области от 25.02.2026 № 126-пп
"О внесении изменений в адресную программу Архангельской области "Переселение граждан из аварийного жилищного фонда на 2025 – 2028 годы"
Номер опубликования: 2900202602260004
Дата опубликования: 26.02.2026
Страница №22 из 43:
Увеличить