Официальное опубликование правовых актов
ОФИЦИАЛЬНОЕ ОПУБЛИКОВАНИЕ
Постановление Правительства Архангельской области от 29.12.2025 № 1287-пп
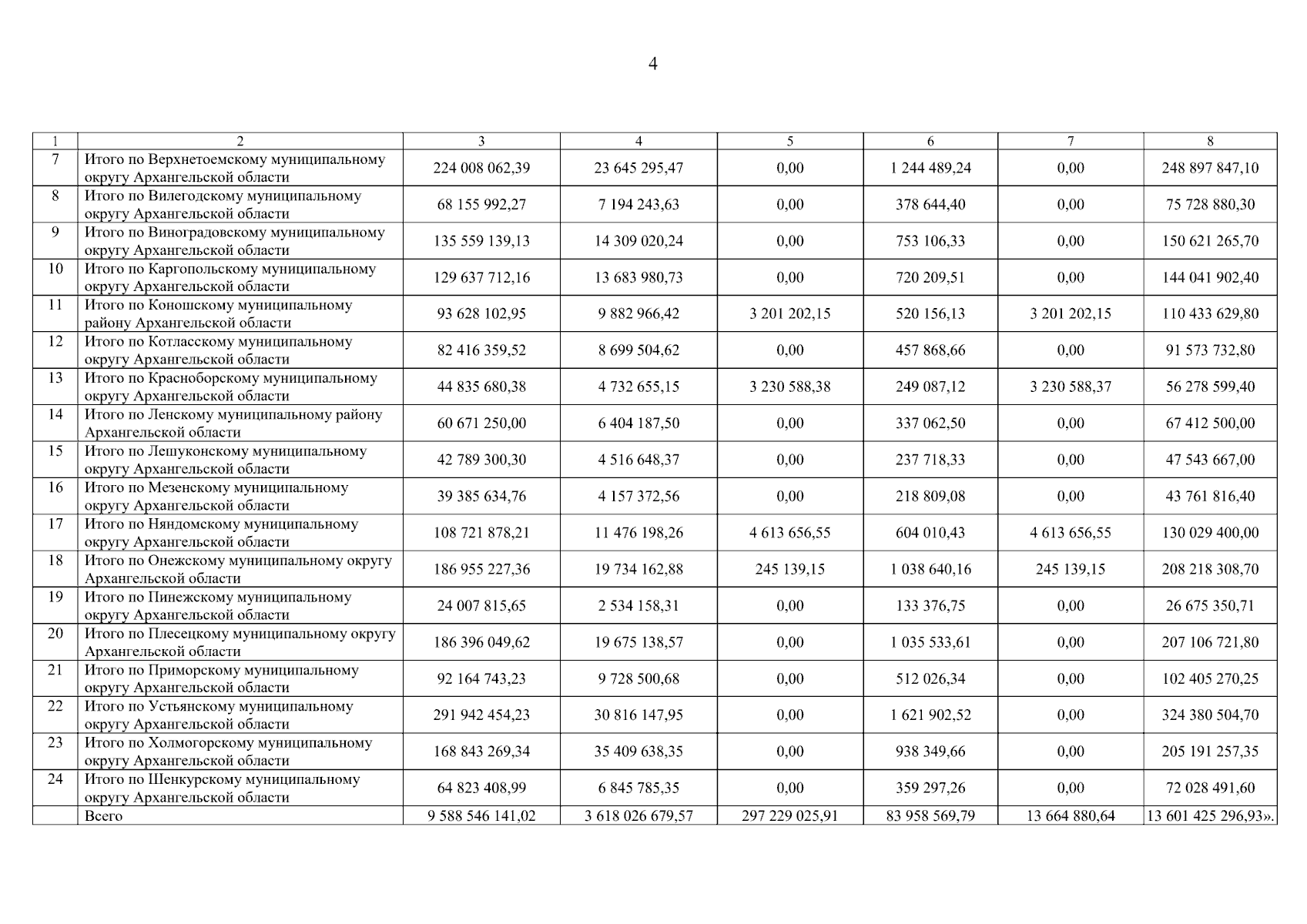
"О внесении изменений в адресную программу Архангельской области "Переселение граждан из аварийного жилищного фонда на 2025 – 2028 годы"
Номер опубликования: 2900202512300028
Дата опубликования: 30.12.2025
Страница №5 из 40:
Увеличить