Официальное опубликование правовых актов
ОФИЦИАЛЬНОЕ ОПУБЛИКОВАНИЕ
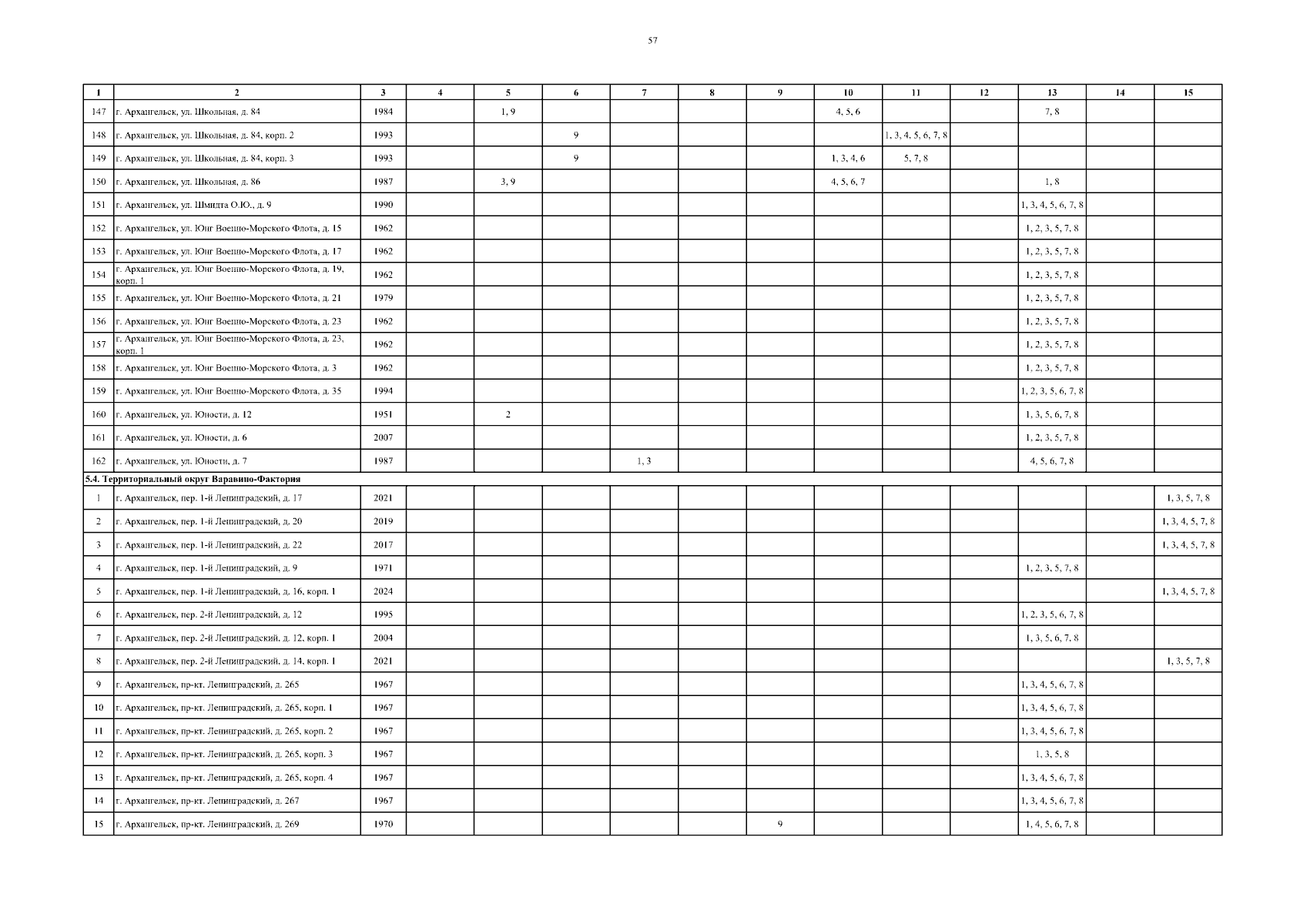
Постановление Правительства Архангельской области от 24.12.2024 № 1165-пп
"О внесении изменений в приложения № 1 и 2 к региональной программе капитального ремонта общего имущества в многоквартирных домах, расположенных на территории Архангельской области"
Номер опубликования: 2900202412250007
Дата опубликования: 25.12.2024
Страница №59 из 298:
Увеличить