Официальное опубликование правовых актов
ОФИЦИАЛЬНОЕ ОПУБЛИКОВАНИЕ
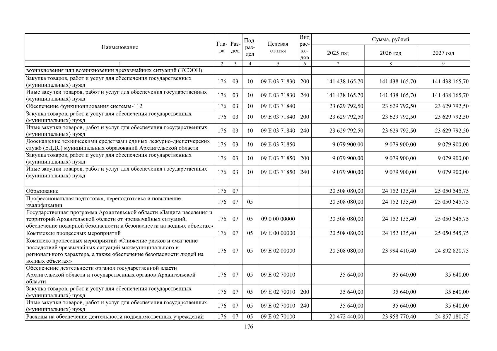
Областной закон Архангельской области от 23.12.2024 № 186-13-ОЗ
"Об областном бюджете на 2025 год и на плановый период 2026 и 2027 годов"
Номер опубликования: 2900202412240004
Дата опубликования: 24.12.2024
Страница №258 из 564:
Увеличить