Официальное опубликование правовых актов
ОФИЦИАЛЬНОЕ ОПУБЛИКОВАНИЕ
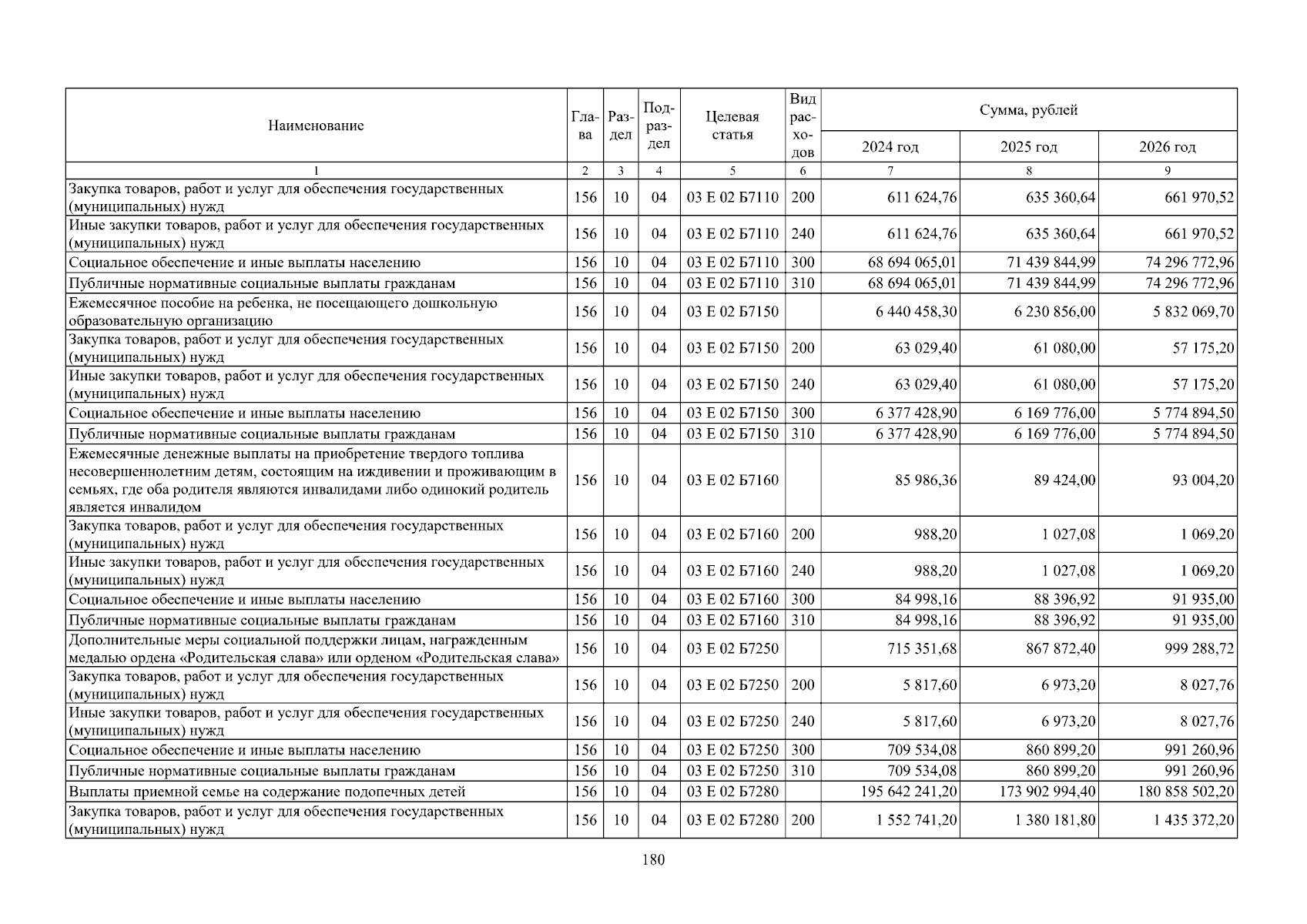
Областной закон Архангельской области от 23.12.2024 № 176-13-ОЗ
"О внесении изменений и дополнений в областной закон "Об областном бюджете на 2024 год и на плановый период 2025 и 2026 годов"
Номер опубликования: 2900202412230021
Дата опубликования: 23.12.2024
Страница №211 из 460:
Увеличить