Официальное опубликование правовых актов
ОФИЦИАЛЬНОЕ ОПУБЛИКОВАНИЕ
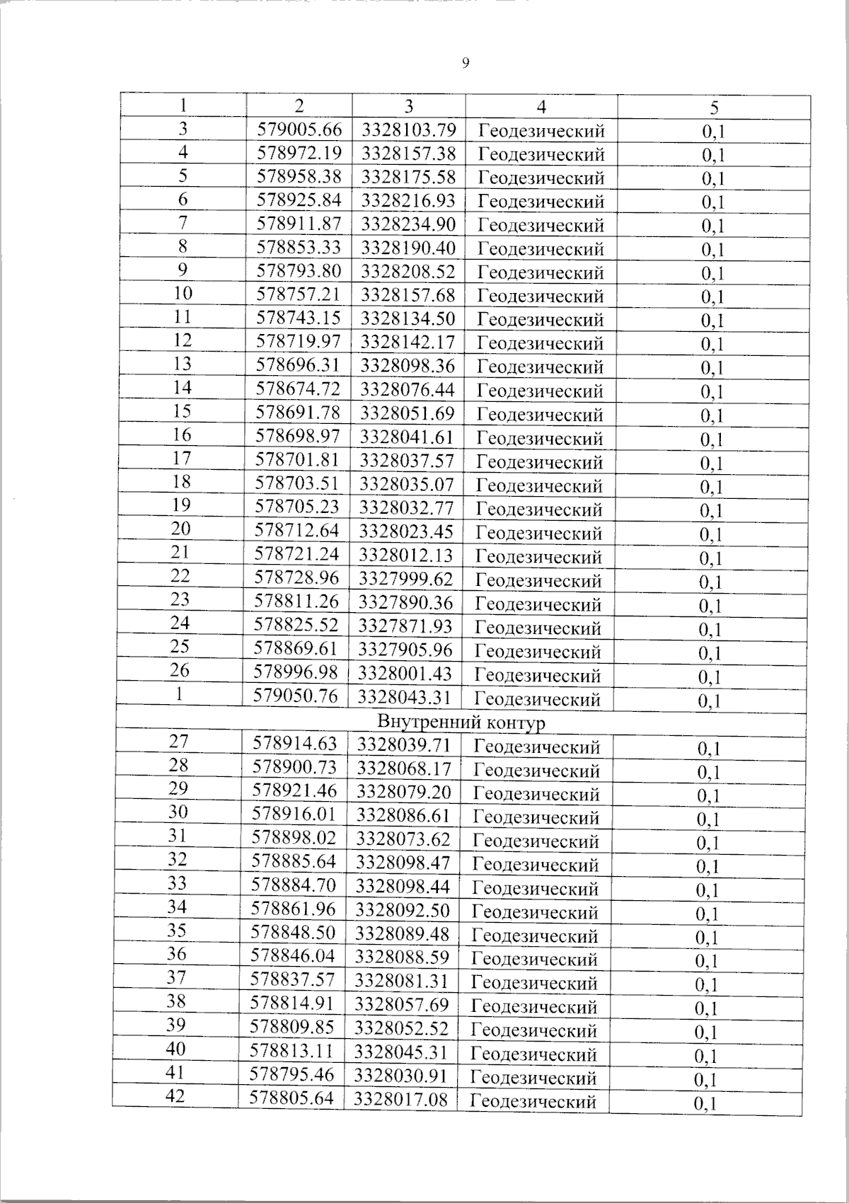
Постановление Правительства Амурской области от 06.02.2026 № 65
"Об установлении зон охраны объекта культурного наследия регионального значения "Ольгинская церковь", 1914 год (Амурская области, г. Свободный, ул. Пушкина, д. 7) и утверждении требований к градостроительным регламентам в границах территорий данных зон"
Номер опубликования: 2800202602120007
Дата опубликования: 12.02.2026
Страница №10 из 14:
Увеличить