Официальное опубликование правовых актов
ОФИЦИАЛЬНОЕ ОПУБЛИКОВАНИЕ
Постановление Правительства Амурской области от 05.02.2026 № 57
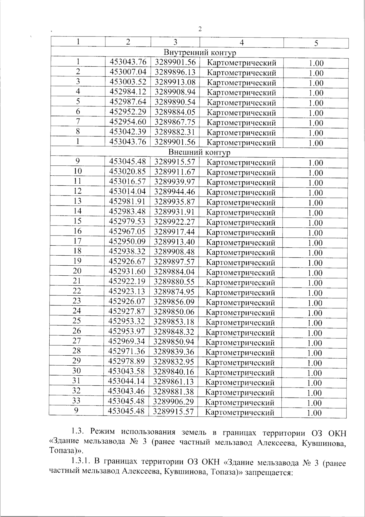
"Об установлении зон охраны объекта культурного наследия регионального значения "Здание мельзавода № 3 (ранее частный мельзавод Алексеева, Кувшинова, Топаза)", кон. XIX в. (Амурская область, г. Благовещенск, ул. Амурская, 2) и утверждении требований к градостроительным регламентам в границах территорий данных зон"
Номер опубликования: 2800202602060006
Дата опубликования: 06.02.2026
Страница №3 из 6:
Увеличить