Официальное опубликование правовых актов
ОФИЦИАЛЬНОЕ ОПУБЛИКОВАНИЕ
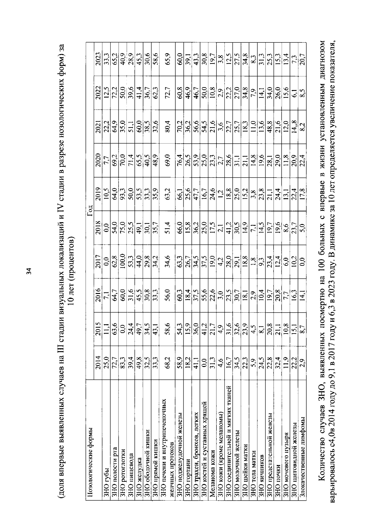
Постановление Правительства Амурской области от 18.06.2024 № 484
"Об утверждении региональной программы Амурской области "Борьба с онкологическими заболеваниями"
Номер опубликования: 2800202406240016
Дата опубликования: 24.06.2024
Страница №35 из 236:
Увеличить