Официальное опубликование правовых актов
ОФИЦИАЛЬНОЕ ОПУБЛИКОВАНИЕ
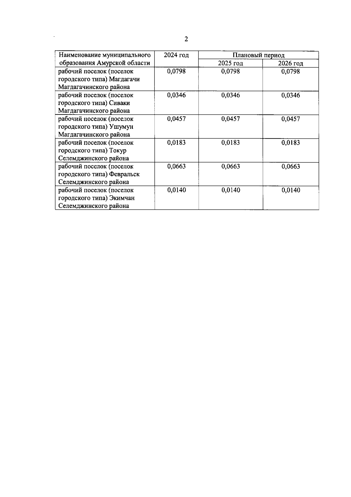
Закон Амурской области от 08.12.2023 № 427-ОЗ
"Об областном бюджете на 2024 год и плановый период 2025 и 2026 годов"
Номер опубликования: 2800202312080002
Дата опубликования: 08.12.2023
Страница №95 из 578:
Увеличить