Официальное опубликование правовых актов
ОФИЦИАЛЬНОЕ ОПУБЛИКОВАНИЕ
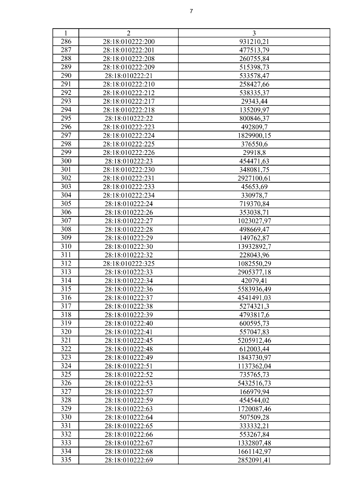
Постановление Правительства Амурской области от 21.11.2023 № 975
"Об утверждении результатов определения кадастровой стоимости объектов недвижимости (зданий, сооружений, помещений, машинно-мест, объектов незавершенного строительства), расположенных на территории Амурской области"
Номер опубликования: 2800202311280001
Дата опубликования: 28.11.2023
Страница №9 из 11511:
Увеличить