Официальное опубликование правовых актов
ОФИЦИАЛЬНОЕ ОПУБЛИКОВАНИЕ
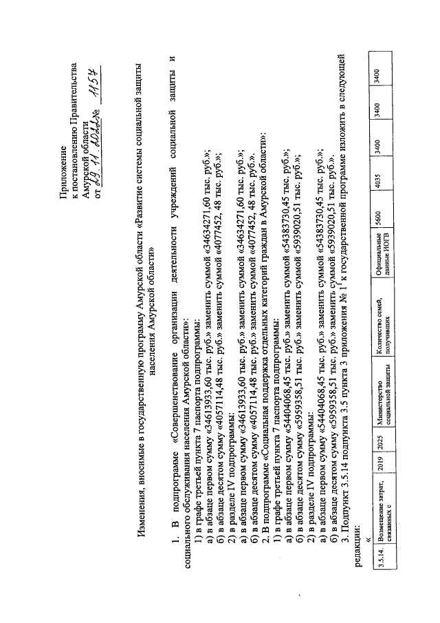
Постановление Правительства Амурской области от 29.11.2022 № 1157
"О внесении изменений в постановление Правительства Амурской области от 25.09.2013 № 444"
Номер опубликования: 2800202211300009
Дата опубликования: 30.11.2022
Страница №2 из 7:
Увеличить