Официальное опубликование правовых актов
ОФИЦИАЛЬНОЕ ОПУБЛИКОВАНИЕ
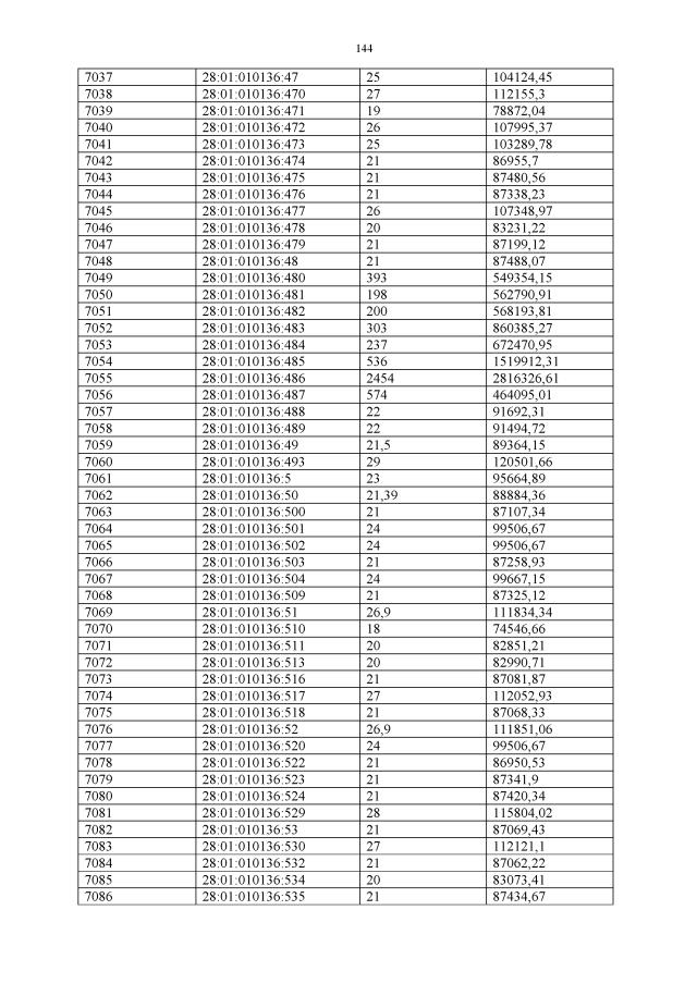
Постановление Правительства Амурской области от 17.10.2022 № 1022
"Об утверждении результатов определения кадастровой стоимости земельных участков, расположенных на территории Амурской области"
Номер опубликования: 2800202210250001
Дата опубликования: 25.10.2022
Страница №144 из 8568:
Увеличить