Официальное опубликование правовых актов
ОФИЦИАЛЬНОЕ ОПУБЛИКОВАНИЕ
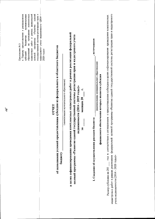
Постановление Правительства Амурской области от 25.01.2017 № 26
"О внесении изменений в постановление Правительства Амурской области от 25.09.2013 № 442"
Номер опубликования: 2800201702010001
Дата опубликования: 01.02.2017
Страница №16 из 33:
Увеличить