Официальное опубликование правовых актов
ОФИЦИАЛЬНОЕ ОПУБЛИКОВАНИЕ
Постановление губернатора Амурской области от 05.12.2016 № 339
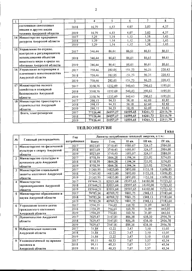
"Об утверждении лимитов потребления топливно-энергетических ресурсов на период с 2017 по 2019 год для главных распорядителей бюджетных средств области"
Номер опубликования: 2800201612090004
Дата опубликования: 09.12.2016
Страница №3 из 6:
Увеличить