Официальное опубликование правовых актов
ОФИЦИАЛЬНОЕ ОПУБЛИКОВАНИЕ
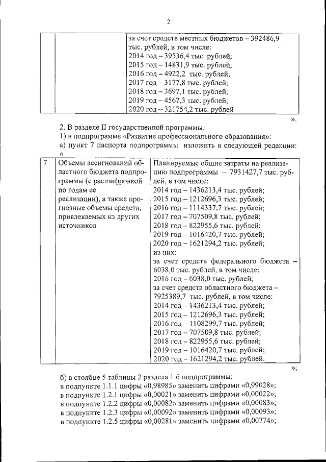
Постановление Правительства Амурской области от 25.10.2016 № 475
"О внесении изменений в постановление Правительства области от 25.09.2013 № 448"
Номер опубликования: 2800201610280011
Дата опубликования: 28.10.2016
Страница №3 из 38:
Увеличить