Официальное опубликование правовых актов
ОФИЦИАЛЬНОЕ ОПУБЛИКОВАНИЕ
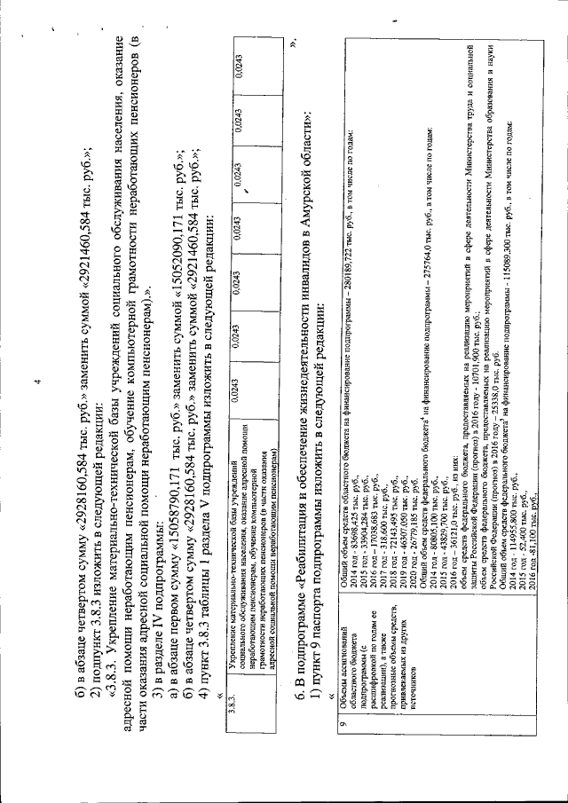
Постановление Правительства Амурской области от 28.06.2016 № 277
"О внесении изменений в постановление Правительства области от 25.09.2013 № 444"
Номер опубликования: 2800201607040007
Дата опубликования: 04.07.2016
Страница №5 из 62:
Увеличить