Официальное опубликование правовых актов
ОФИЦИАЛЬНОЕ ОПУБЛИКОВАНИЕ
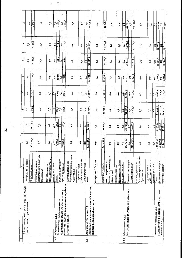
Постановление Правительства Амурской области от 23.03.2016 № 99
"О внесении изменений в постановление Правительства области от 03.07.2013 № 302"
Номер опубликования: 2800201603280001
Дата опубликования: 28.03.2016
Страница №39 из 70:
Увеличить