Официальное опубликование правовых актов
ОФИЦИАЛЬНОЕ ОПУБЛИКОВАНИЕ
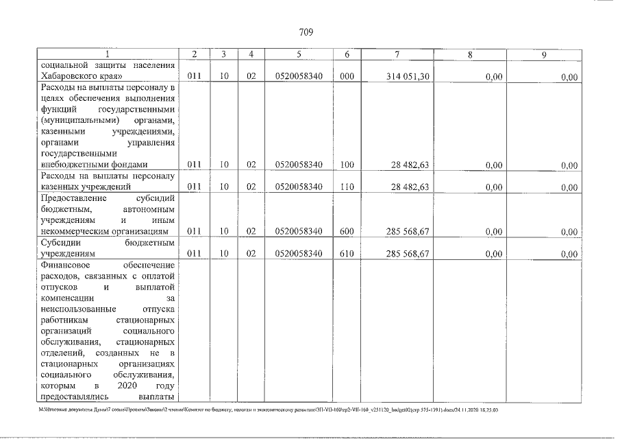
Закон Хабаровского края от 25.11.2020 № 119
"О внесении изменений в Закон Хабаровского края "О краевом бюджете на 2020 год и на плановый период 2021 и 2022 годов"
Номер опубликования: 2700202011270001
Дата опубликования: 27.11.2020
Страница №709 из 1513:
Увеличить