Официальное опубликование правовых актов
ОФИЦИАЛЬНОЕ ОПУБЛИКОВАНИЕ
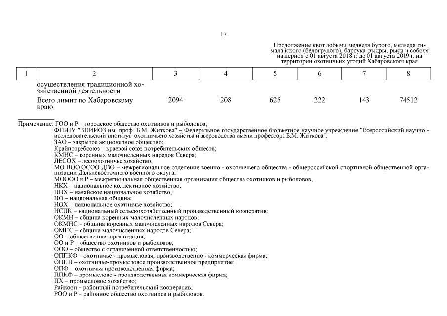
Распоряжение Губернатора Хабаровского края от 23.07.2018 № 385-р
"Об утверждении лимитов и квот добычи охотничьих ресурсов на территории охотничьих угодий Хабаровского края, за исключением особо охраняемых природных территорий федерального значения, на период с 01 августа 2018 г. до 01 августа 2019 г."
Номер опубликования: 2700201807260006
Дата опубликования: 26.07.2018
Страница №53 из 54:
Увеличить