Распоряжение Правительства Хабаровского края от 14.02.2018 № 106-рп
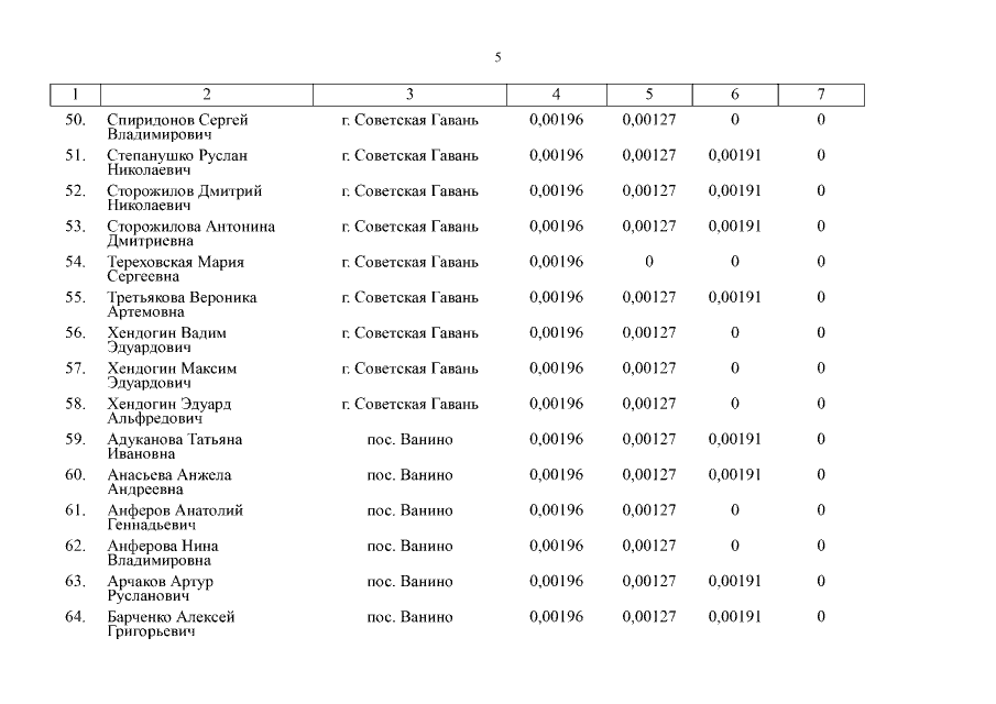
"О распределении квот добычи (вылова) водных биологических ресурсов, общий допустимый улов которых устанавливается, в подзоне Приморье севернее мыса Золотой и Северо-Охотоморской подзоне, примыкающей к территории Хабаровского края, в целях обеспечения традиционного образа жизни и осуществления традиционной хозяйственной деятельности коренных малочисленных народов Севера, Сибири и Дальнего Востока Российской Федерации в Хабаровском крае между заявителями на 2018 год"
"О распределении квот добычи (вылова) водных биологических ресурсов, общий допустимый улов которых устанавливается, в подзоне Приморье севернее мыса Золотой и Северо-Охотоморской подзоне, примыкающей к территории Хабаровского края, в целях обеспечения традиционного образа жизни и осуществления традиционной хозяйственной деятельности коренных малочисленных народов Севера, Сибири и Дальнего Востока Российской Федерации в Хабаровском крае между заявителями на 2018 год"
Номер опубликования: 2700201802160001
Дата опубликования:
16.02.2018
