Официальное опубликование правовых актов
ОФИЦИАЛЬНОЕ ОПУБЛИКОВАНИЕ
Приказ Министерства жилищно-коммунального хозяйства Ставропольского края от 16.09.2019 № 229
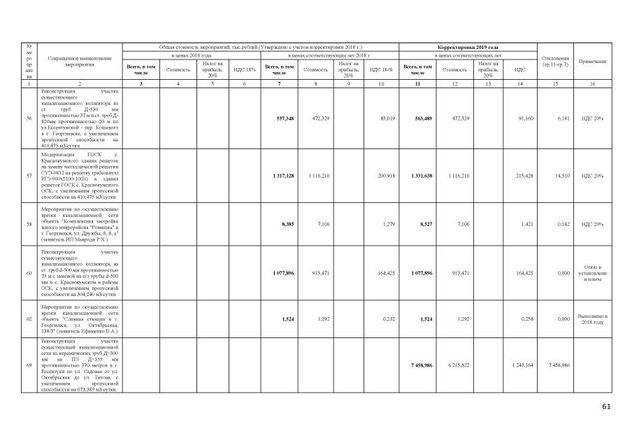
"О корректировке инвестиционной программы государственного унитарного предприятия Ставропольского края "Ставрополькрайводоканал" по модернизации систем водоснабжения и канализации на период 2015-2019 годы, утвержденной приказом министерства строительства, архитектуры и жилищно-коммунального хозяйства Ставропольского края от 10 октября 2014 г. № 543"
Номер опубликования: 2601201909180001
Дата опубликования: 18.09.2019
Страница №64 из 159:
Увеличить