Официальное опубликование правовых актов
ОФИЦИАЛЬНОЕ ОПУБЛИКОВАНИЕ
Постановление Правительства Ставропольского края от 26.12.2025 № 710-п
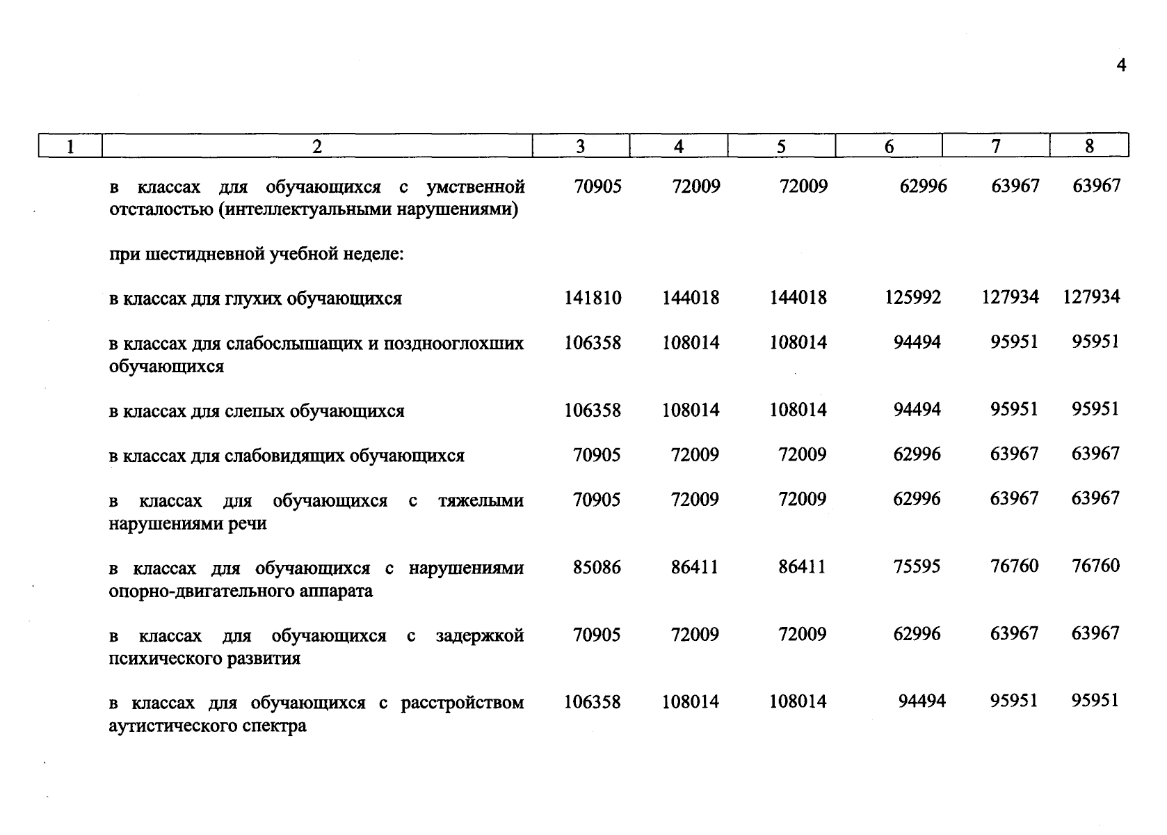
"О внесении изменений в постановление Правительства Ставропольского края от 25 декабря 2013 г. № 507-п "О нормативах обеспечения государственных гарантий реализации прав на получение общедоступного и бесплатного начального общего, основного общего, среднего общего образования в муниципальных общеобразовательных организациях Ставропольского края, обеспечения дополнительного образования детей в муниципальных общеобразовательных организациях Ставропольского края"
Номер опубликования: 2600202512290002
Дата опубликования: 29.12.2025
Страница №6 из 20:
Увеличить