Официальное опубликование правовых актов
ОФИЦИАЛЬНОЕ ОПУБЛИКОВАНИЕ
Постановление Администрации города Владивостока Приморского края от 20.06.2018 № 1835
"Об утверждении документации по планировке территории в части проекта планировки территории и проекта межевания территории в районе просп. Океанский - просп. Партизанский в городе Владивостоке (тестовое опубликование)"
Номер опубликования: 2502201806250014
Дата опубликования: 25.06.2018
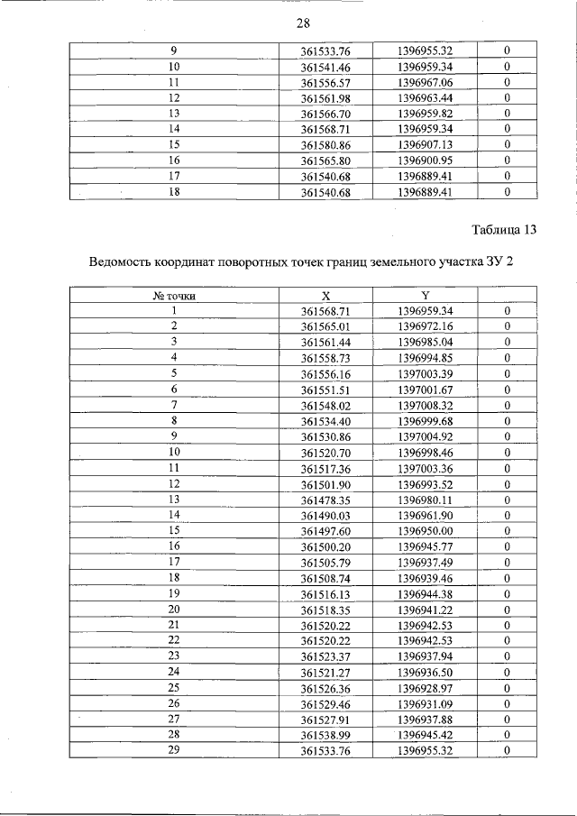
Страница №28 из 30:
Увеличить