Официальное опубликование правовых актов
ОФИЦИАЛЬНОЕ ОПУБЛИКОВАНИЕ
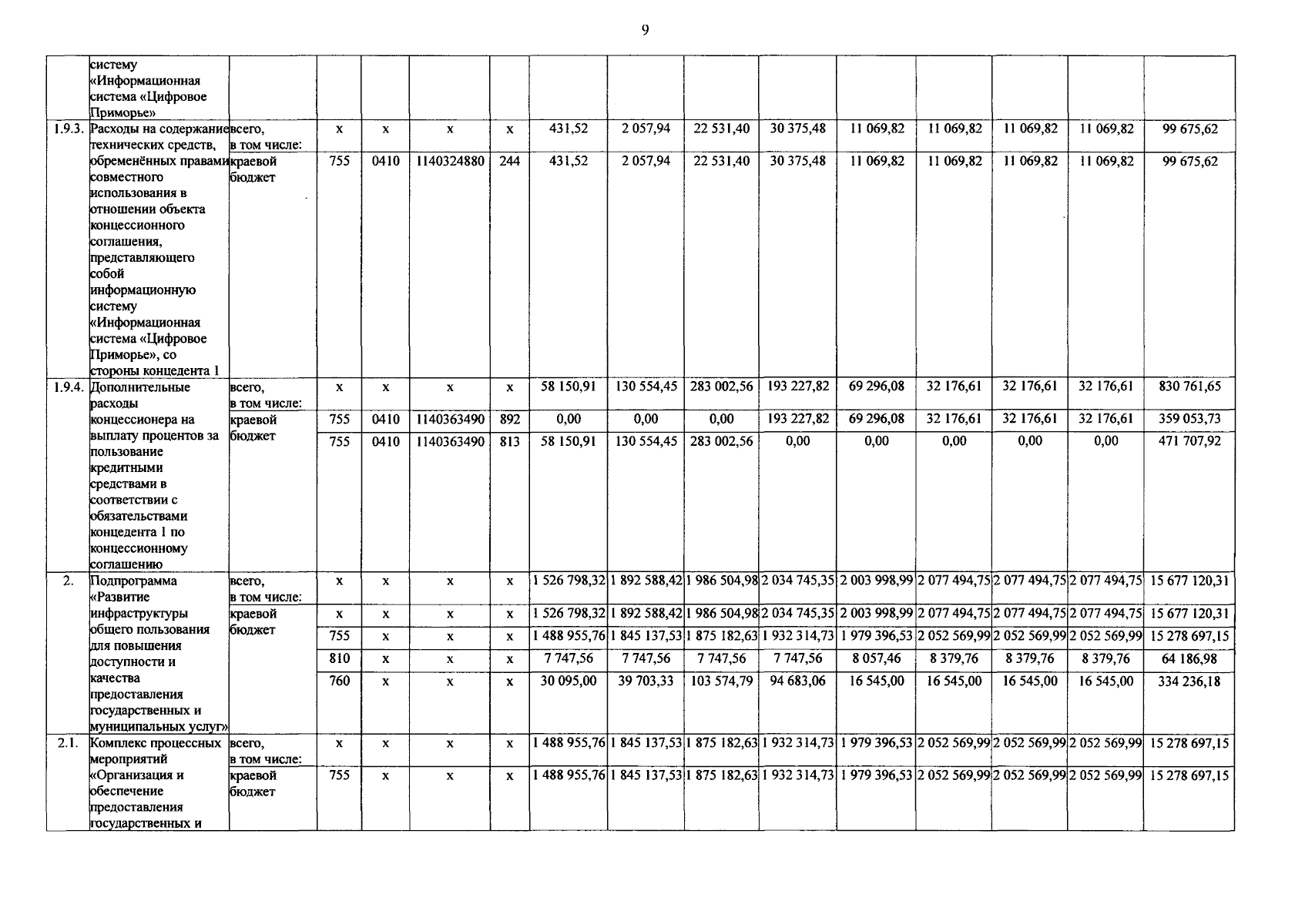
Постановление Правительства Приморского края от 17.04.2026 № 289-пп
"О внесении изменений в постановление Администрации Приморского края от 02 июля 2019 года № 418-па "Об утверждении государственной программы Приморского края "Информационное общество"
Номер опубликования: 2501202604230007
Дата опубликования: 23.04.2026
Страница №22 из 30:
Увеличить