Официальное опубликование правовых актов
ОФИЦИАЛЬНОЕ ОПУБЛИКОВАНИЕ
Постановление Агентства по тарифам Приморского края от 10.12.2025 № 61/8
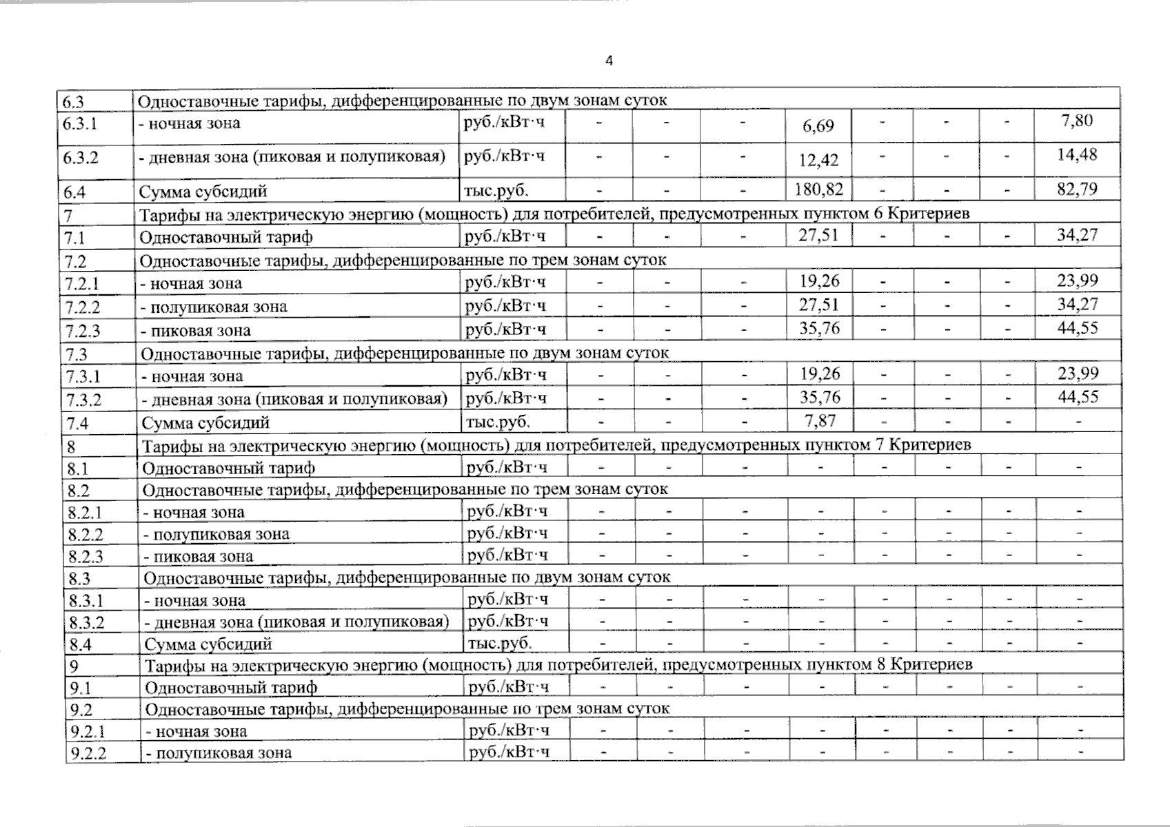
"О внесении изменений в постановление агентства по тарифам Приморского края от 25 ноября 2022 года № 65/6 "Об установлении цен (тарифов) на электрическую энергию (мощность), поставляемую ООО "МобиСет" (гарантирующий поставщик) покупателям с. Таежное, с. Молодежное, с. Мельничное, с. Дерсу, с. Дальний кут Красноармейского муниципального округа Приморского края на розничных рынках, расположенных на территориях, технологически не связанных с Единой энергетической системой России и технологически изолированными территориальными электроэнергетическими системами, за исключением населения и (или) приравненных к нему категорий потребителей"
(Зарегистрирован 16.12.2025 № 2885)
Номер опубликования: 2501202512170081
Дата опубликования: 17.12.2025
Страница №6 из 36:
Увеличить