Официальное опубликование правовых актов
ОФИЦИАЛЬНОЕ ОПУБЛИКОВАНИЕ
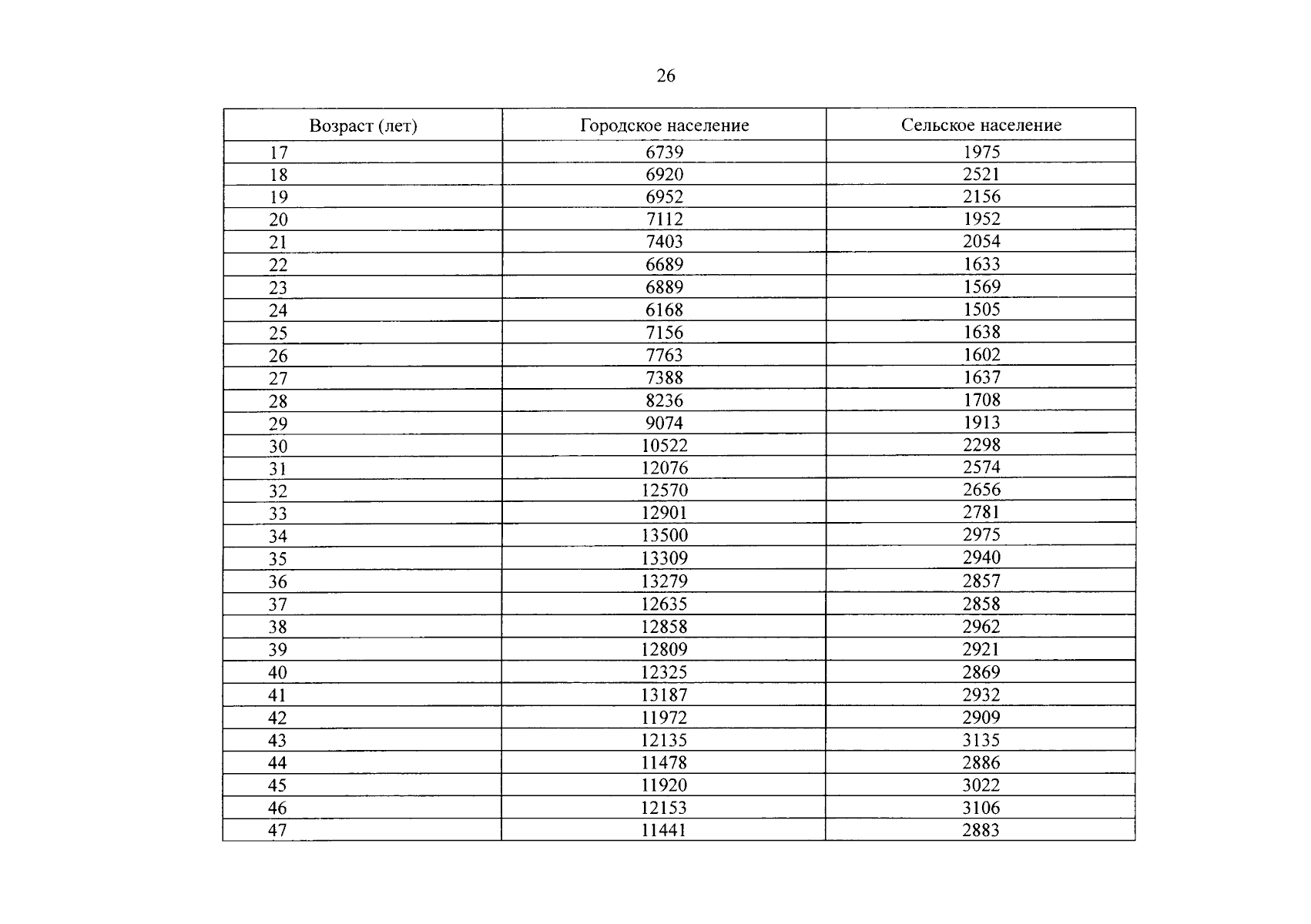
Постановление Правительства Приморского края от 05.12.2025 № 900-пп
"О внесении изменений в постановление Правительства Приморского края от 30 июня 2023 года № 448-пп "Об утверждении региональной программы "Повышение рождаемости в Приморском крае"
Номер опубликования: 2501202512080002
Дата опубликования: 08.12.2025
Страница №28 из 108:
Увеличить