Официальное опубликование правовых актов
ОФИЦИАЛЬНОЕ ОПУБЛИКОВАНИЕ
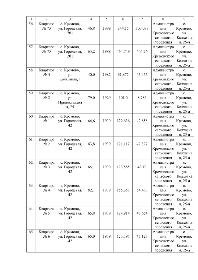
Закон Приморского края от 05.05.2015 № 620-КЗ
"О разграничении объектов муниципальной собственности между сельскими поселениями Михайловского муниципального района и Михайловским муниципальным районом"
Номер опубликования: 2500201505060002
Дата опубликования: 06.05.2015
Страница №15 из 81:
Увеличить