Официальное опубликование правовых актов
ОФИЦИАЛЬНОЕ ОПУБЛИКОВАНИЕ
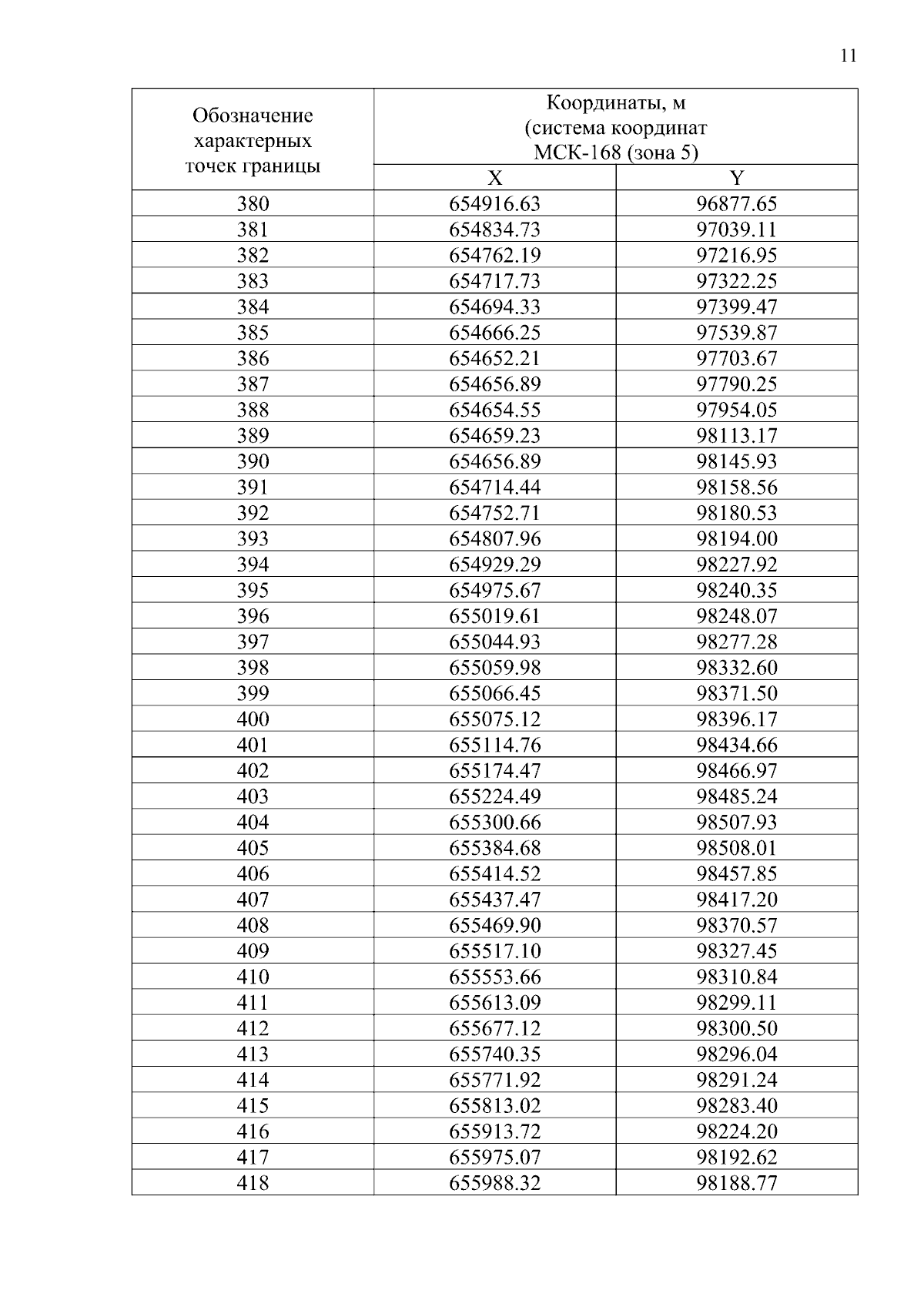
Закон Красноярского края от 06.02.2025 № 9-3573
"О внесении изменений в Закон края "Об установлении границ и наделении соответствующим статусом муниципального образования Ирбейский район и находящихся в его границах иных муниципальных образований" (принят Законодательным Собранием Красноярского края 06.02.2025, подписан Губернатором Красноярского края 13.02.2025)
Номер опубликования: 2400202502190006
Дата опубликования: 19.02.2025
Страница №41 из 1185:
Увеличить