Официальное опубликование правовых актов
ОФИЦИАЛЬНОЕ ОПУБЛИКОВАНИЕ
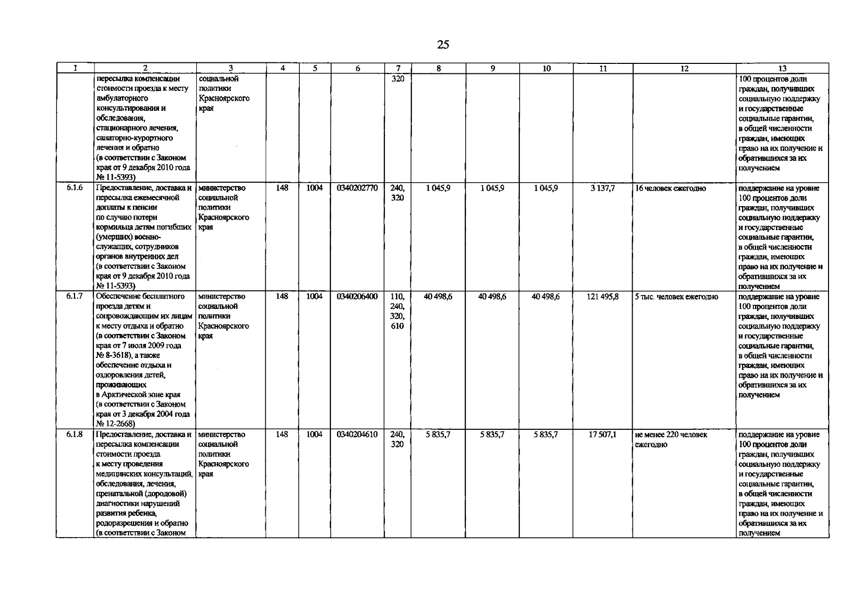
Постановление Правительства Красноярского края от 21.01.2025 № 22-п
"О внесении изменений в постановление Правительства Красноярского края от 30.09.2013 № 507-п "Об утверждении государственной программы Красноярского края "Развитие системы социальной поддержки граждан"
Номер опубликования: 2400202501270012
Дата опубликования: 27.01.2025
Страница №82 из 129:
Увеличить