Официальное опубликование правовых актов
ОФИЦИАЛЬНОЕ ОПУБЛИКОВАНИЕ
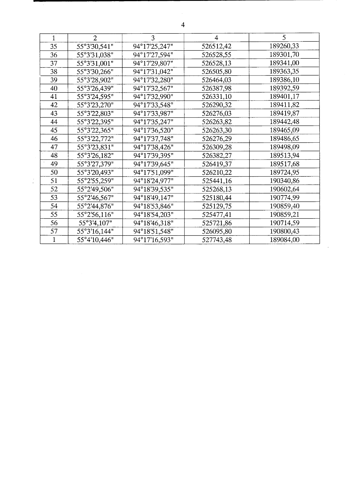
Постановление Правительства Красноярского края от 26.11.2024 № 909-п
"О создании особо охраняемой природной территории краевого значения — природного парка "Койское Белогорье" и утверждении положения о нем"
Номер опубликования: 2400202412030020
Дата опубликования: 03.12.2024
Страница №22 из 32:
Увеличить