Официальное опубликование правовых актов
ОФИЦИАЛЬНОЕ ОПУБЛИКОВАНИЕ
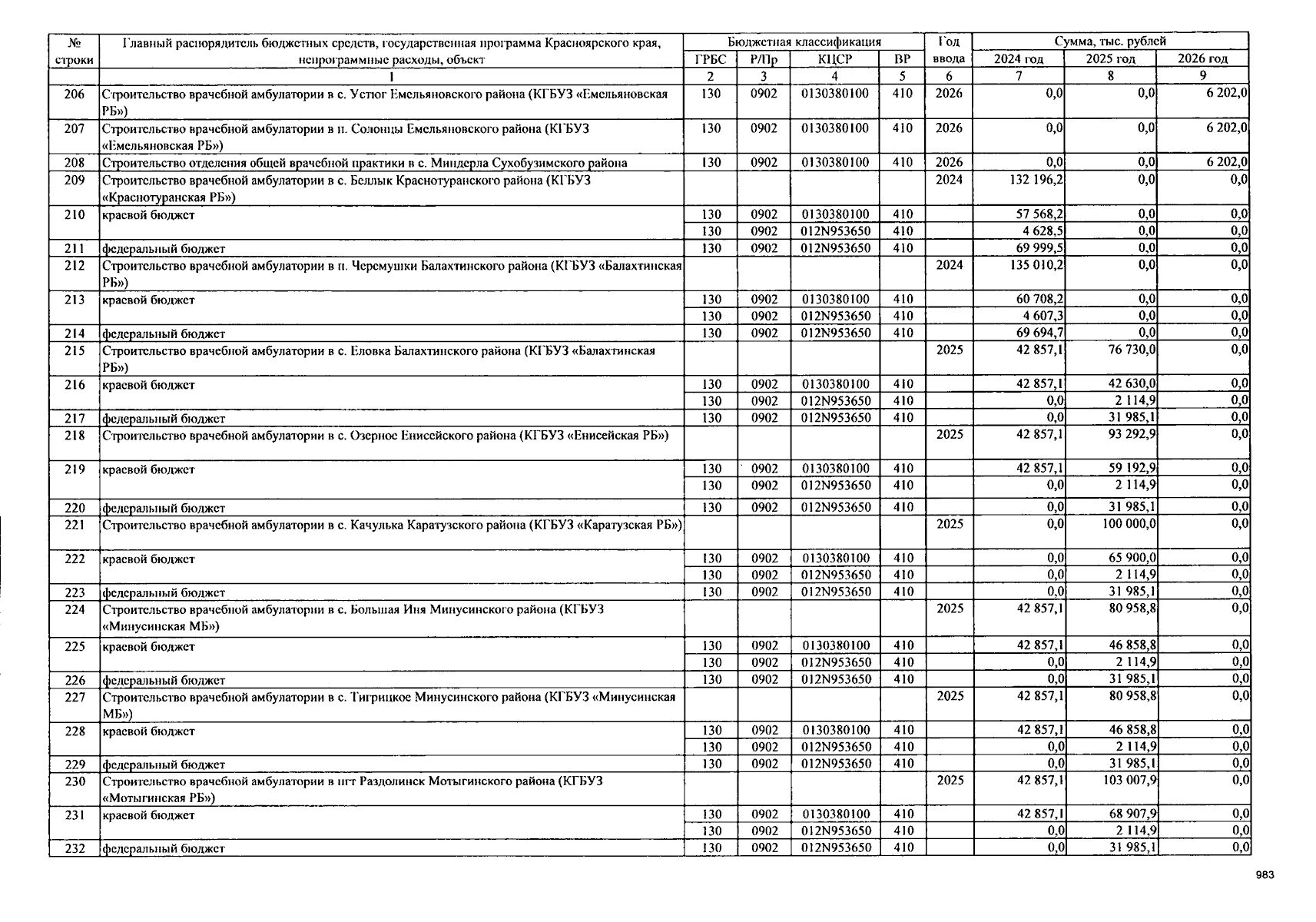
Закон Красноярского края от 10.10.2024 № 8-3054
"О внесении изменений в Закон края "О краевом бюджете на 2024 год и плановый период 2025–2026 годов" (принят Законодательным Собранием Красноярского края 10.10.2024, подписан Губернатором Красноярского края 21.10.2024)
Номер опубликования: 2400202410220005
Дата опубликования: 22.10.2024
Страница №983 из 989:
Увеличить