Официальное опубликование правовых актов
ОФИЦИАЛЬНОЕ ОПУБЛИКОВАНИЕ
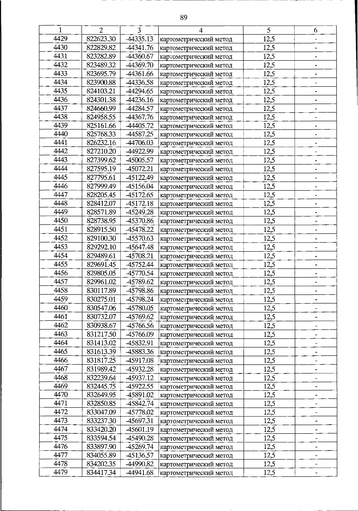
Постановление Правительства Красноярского края от 18.06.2024 № 442-п
"О внесении изменений в постановление Правительства Красноярского края от 28.07.2015 № 395-п "О государственных природных заказниках краевого значения "Больше-Касский"‚ "Больше-Кемчугский", "Кемский", "Маковский", "Мало-Кемчугский", "Туруханский" и присвоении государственному природному заказнику краевого значения "Туруханский" имени академика Е.Е. Сыроечковского"
Номер опубликования: 2400202406250025
Дата опубликования: 25.06.2024
Страница №222 из 324:
Увеличить