Официальное опубликование правовых актов
ОФИЦИАЛЬНОЕ ОПУБЛИКОВАНИЕ
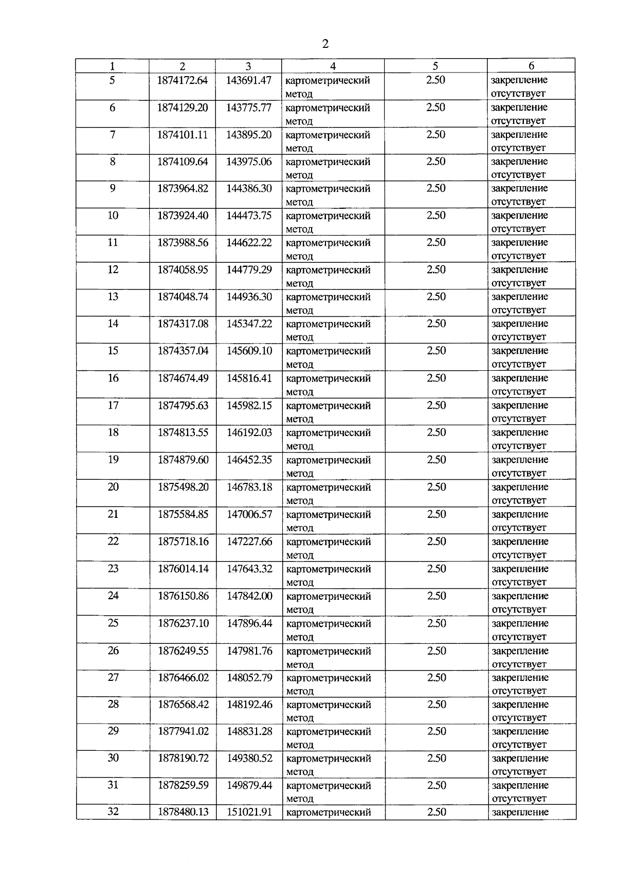
Постановление Правительства Красноярского края от 26.03.2024 № 202-п
"О внесении изменений в постановление Правительства Красноярского края от 16.11.2021 № 807-п "О создании особо охраняемой природной территории — государственного природного заказника краевого значения "Озеро Виви"
Номер опубликования: 2400202404030004
Дата опубликования: 03.04.2024
Страница №4 из 39:
Увеличить