Официальное опубликование правовых актов
ОФИЦИАЛЬНОЕ ОПУБЛИКОВАНИЕ
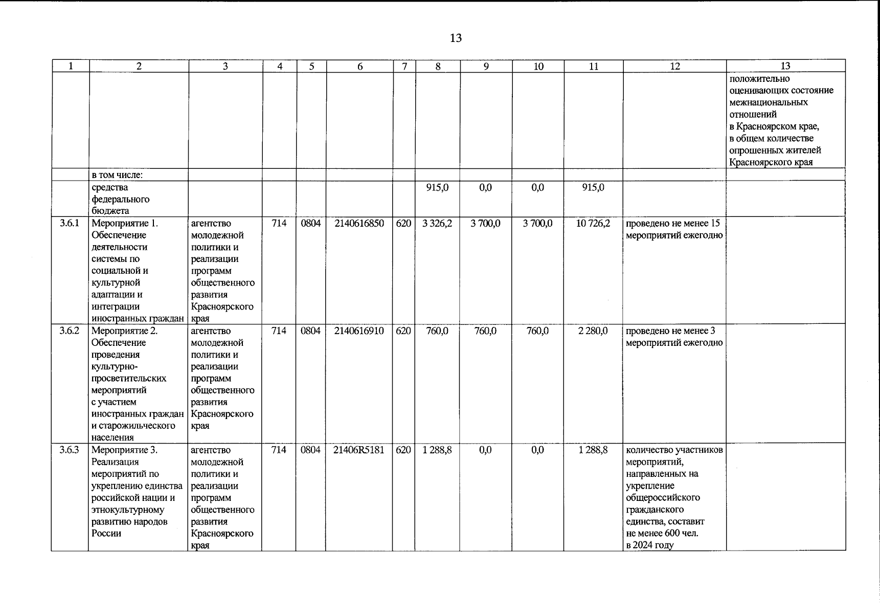
Постановление Правительства Красноярского края от 26.03.2024 № 201-п
"О внесении изменений в постановление Правительства Красноярского края от 30.09.2014 № 442-п "Об утверждении государственной программы Красноярского края «Укрепление единства российской нации и этнокультурное развитие народов Красноярского края"
Номер опубликования: 2400202403280006
Дата опубликования: 28.03.2024
Страница №22 из 28:
Увеличить