Официальное опубликование правовых актов
ОФИЦИАЛЬНОЕ ОПУБЛИКОВАНИЕ
Постановление Правительства Красноярского края от 08.02.2024 № 86-п
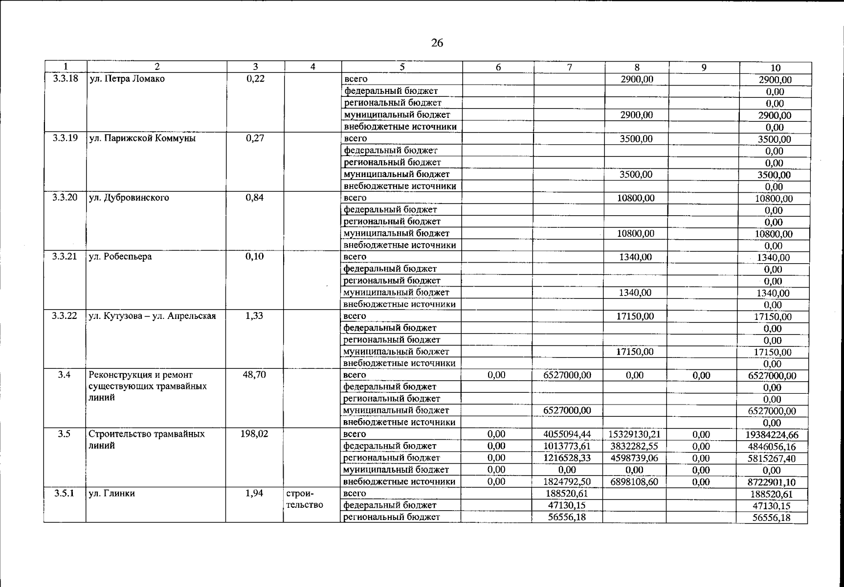
"Об утверждении программы комплексного развития транспортной инфраструктуры Красноярского края и комплексной схемы организации транспортного обслуживания населения общественным транспортом Красноярского края"
Номер опубликования: 2400202402190001
Дата опубликования: 19.02.2024
Страница №165 из 368:
Увеличить