Официальное опубликование правовых актов
ОФИЦИАЛЬНОЕ ОПУБЛИКОВАНИЕ
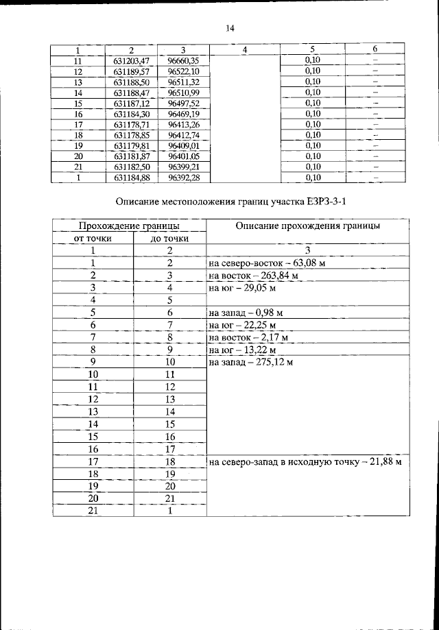
Постановление Правительства Красноярского края от 13.06.2023 № 492-п
"О внесении изменений в постановление Правительства Красноярского края от 01.06.2018 № 319-п "Об утверждении границ зон охраны объектов культурного наследия регионального значения, расположенных в г. Красноярске, особых режимов использования земель и требований к градостроительным регламентам в границах данных зон охраны"
Номер опубликования: 2400202306160011
Дата опубликования: 16.06.2023
Страница №16 из 29:
Увеличить