Официальное опубликование правовых актов
ОФИЦИАЛЬНОЕ ОПУБЛИКОВАНИЕ
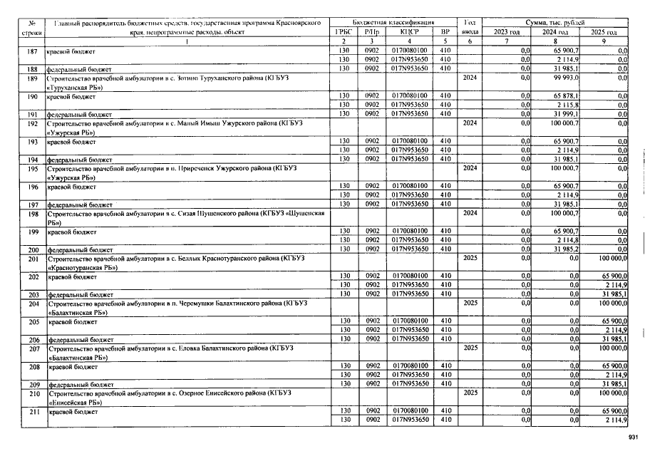
Закон Красноярского края от 20.04.2023 № 5-1744
"О внесении изменений в Закон края "О краевом бюджете на 2023 год и плановый период 2024-2025 годов" (принят Законодательным Собранием Красноярского края 20.04.2023, подписан Губернатором Красноярского края 03.05.2023)
Номер опубликования: 2400202305100001
Дата опубликования: 10.05.2023
Страница №931 из 939:
Увеличить