Официальное опубликование правовых актов
ОФИЦИАЛЬНОЕ ОПУБЛИКОВАНИЕ
Постановление Правительства Красноярского края от 27.12.2022 № 1178-п
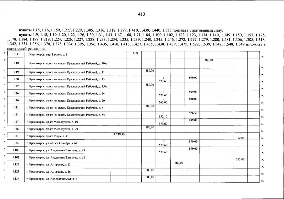
"О внесении изменений в постановление Правительства Красноярского края от 31.05.2022 № 479-п "Об утверждении краткосрочного плана реализации региональной программы капитального ремонта общего имущества в многоквартирных домах, расположенных на территории Красноярского края, утвержденной постановлением Правительства Красноярского края от 27.12.2013 № 709-п, на 2023–2025 годы"
Номер опубликования: 2400202212310001
Дата опубликования: 31.12.2022
Страница №413 из 447:
Увеличить