Официальное опубликование правовых актов
ОФИЦИАЛЬНОЕ ОПУБЛИКОВАНИЕ
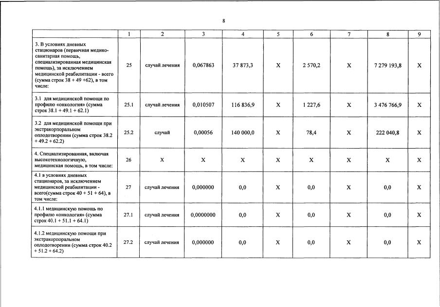
Постановление Правительства Красноярского края от 27.12.2022 № 1177-п
"Об утверждении Территориальной программы государственных гарантий бесплатного оказания гражданам медицинской помощи в Красноярском крае на 2023 год и на плановый период 2024 и 2025 годов"
Номер опубликования: 2400202212300001
Дата опубликования: 30.12.2022
Страница №100 из 530:
Увеличить