Официальное опубликование правовых актов
ОФИЦИАЛЬНОЕ ОПУБЛИКОВАНИЕ
Закон Красноярского края от 10.11.2022 № 4-1190
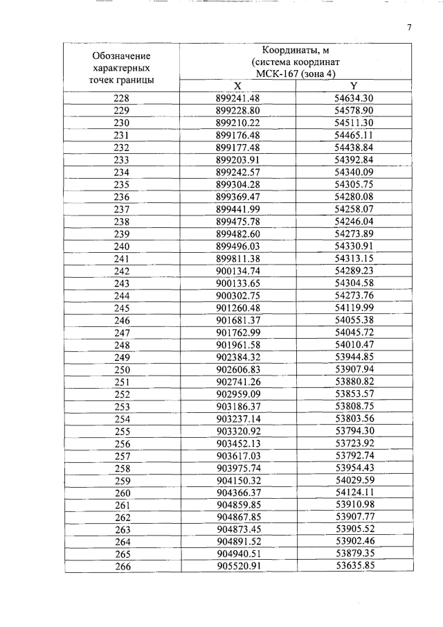
"Об установлении границ муниципального образования город Енисейск Красноярского края и наделении его статусом городского округа (принят Законодательным Собранием Красноярского края 10.11.2022, подписан Губернатором Красноярского края 21.11.2022)
Номер опубликования: 2400202211250012
Дата опубликования: 25.11.2022
Страница №9 из 15:
Увеличить