Официальное опубликование правовых актов
ОФИЦИАЛЬНОЕ ОПУБЛИКОВАНИЕ
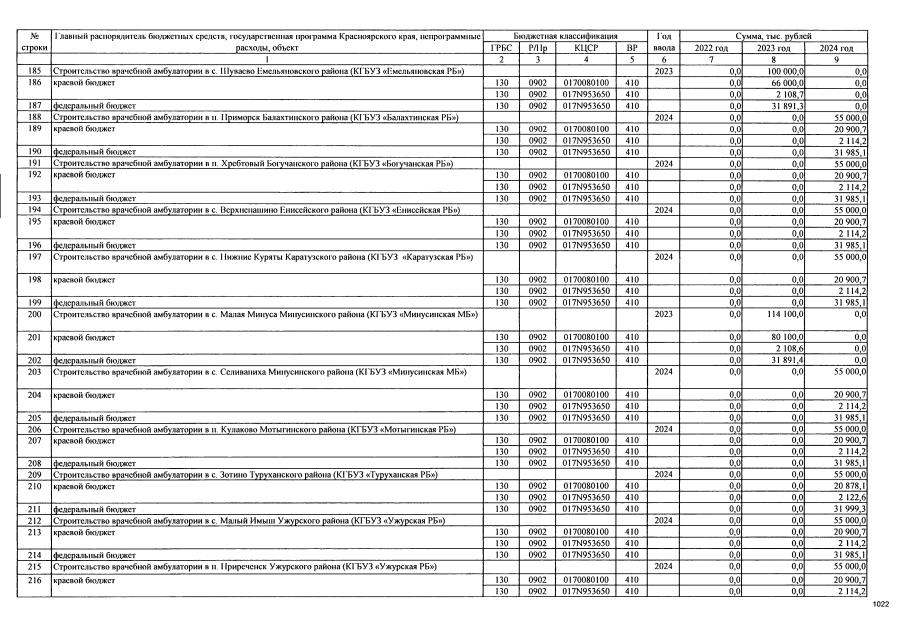
Закон Красноярского края от 13.10.2022 № 4-1045
"О внесении изменений в Закон края "О краевом бюджете на 2022 год и плановый период 2023-2024 годов" (принят Законодательным Собранием Красноярского края 06.10.2022, подписан Губернатором Красноярского края 13.10.2022)
Номер опубликования: 2400202210190001
Дата опубликования: 19.10.2022
Страница №922 из 931:
Увеличить