Официальное опубликование правовых актов
ОФИЦИАЛЬНОЕ ОПУБЛИКОВАНИЕ
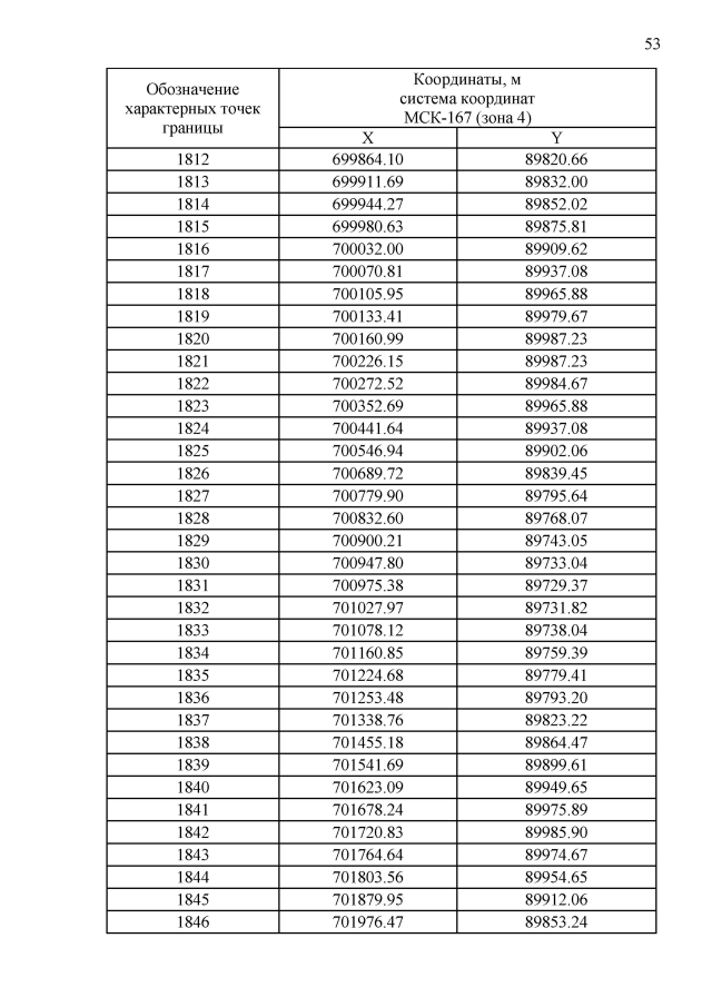
Закон Красноярского края от 21.04.2022 № 3-721
"О внесении изменений в Закон края "Об установлении границ и наделении соответствующим статусом муниципального образования Сухобузимский район и находящихся в его границах иных муниципальных образований" (принят Законодательным Собранием Красноярского края 21.04.2022, подписан Губернатором Красноярского края 06.05.2022)
Номер опубликования: 2400202205130002
Дата опубликования: 13.05.2022
Страница №765 из 825:
Увеличить