Официальное опубликование правовых актов
ОФИЦИАЛЬНОЕ ОПУБЛИКОВАНИЕ
Постановление Правительства Красноярского края от 29.12.2020 № 942-п
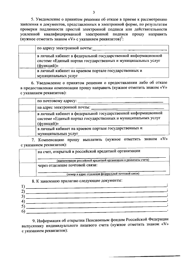
"О внесении изменения в постановление Правительства Красноярского края от 19.06.2018 № 364-п "Об утверждении Порядка обращения за получением денежной компенсации взамен обеспечения бесплатным комплектом одежды, обуви, мягким инвентарем, оборудованием выпускников краевых государственных организаций или муниципальных организаций для детей-сирот и детей, оставшихся без попечения родителей, в которых они находились на полном государственном обеспечении, за исключением лиц, помещенных под надзор в медицинские организации, организации, оказывающие социальные услуги, а также выпускников организаций, осуществляющих образовательную деятельность, обучавшихся по очной форме обучения по основным профессиональным образовательным программам за счет средств краевого или местных бюджетов и (или) по программам профессиональной подготовки по профессиям рабочих, должностям служащих за счет средств краевого или местных бюджетов, – детей-сирот и детей, оставшихся без попечения родителей, лиц из числа детей-сирот и детей, оставшихся без попечения родителей, лиц, потерявших в период обучения обоих родителей или единственного родителя, за исключением лиц, продолжающих обучение по очной форме обучения по основным профессиональным образовательным программам за счет средств краевого или местных бюджетов и (или) по программам профессиональной подготовки по профессиям рабочих, должностям служащих за счет средств краевого или местных бюджетов, и порядка ее выплаты"
Номер опубликования: 2400202101120005
Дата опубликования: 12.01.2021
Страница №14 из 15:
Увеличить