Официальное опубликование правовых актов
ОФИЦИАЛЬНОЕ ОПУБЛИКОВАНИЕ
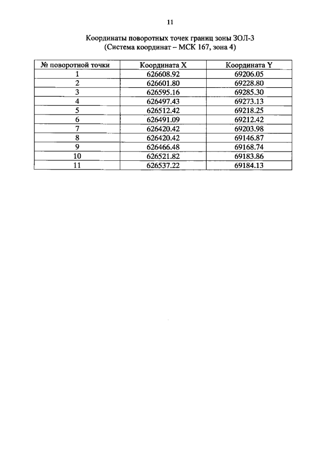
Постановление Правительства Красноярского края от 01.12.2020 № 821-п
"Об установлении зон охраны объекта культурного наследия регионального значения "Знаменский скит", 1888 г., расположенного в Красноярском крае, городе Дивногорске, утверждении требований к градостроительным регламентам в границах данных зон"
Номер опубликования: 2400202012100003
Дата опубликования: 10.12.2020
Страница №12 из 16:
Увеличить