Официальное опубликование правовых актов
ОФИЦИАЛЬНОЕ ОПУБЛИКОВАНИЕ
Постановление Правительства Красноярского края от 20.10.2020 № 740-п
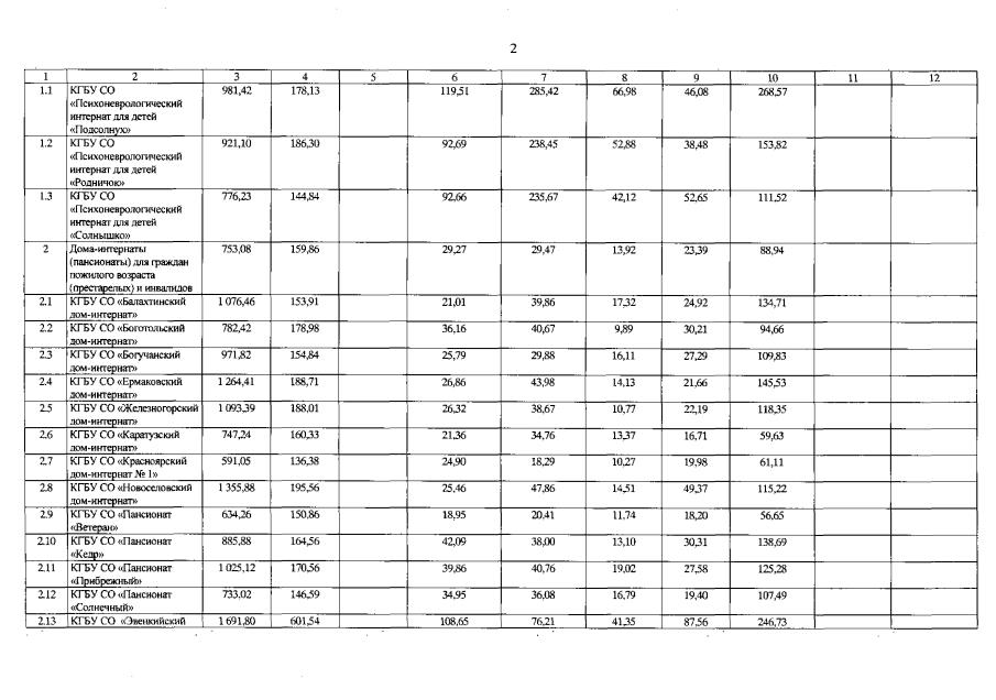
"О внесении изменения в постановление Правительства Красноярского края от 30.06.2015 № 330-п "Об утверждении тарифов на социальные услуги, предоставляемые поставщиками социальных услуг на территории Красноярского края"
Номер опубликования: 2400202010300003
Дата опубликования: 30.10.2020
Страница №3 из 28:
Увеличить