Постановление Правительства Красноярского края от 03.04.2020 № 191-п
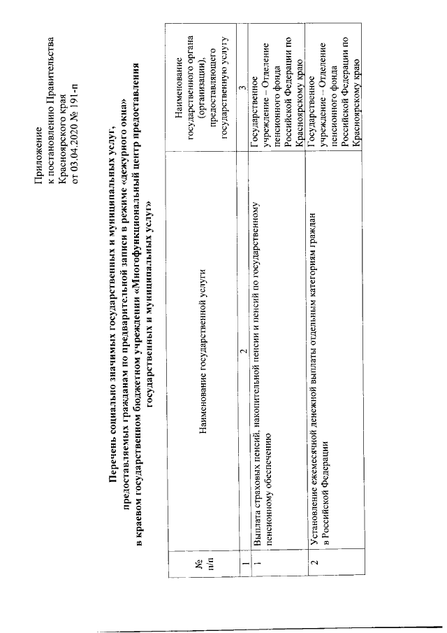
"Об утверждении Перечня социально значимых государственных и муниципальных услуг, предоставляемых гражданам по предварительной записи в режиме "дежурного окна" в краевом государственном бюджетном учреждении "Многофункциональный центр предоставления государственных и муниципальных услуг"
"Об утверждении Перечня социально значимых государственных и муниципальных услуг, предоставляемых гражданам по предварительной записи в режиме "дежурного окна" в краевом государственном бюджетном учреждении "Многофункциональный центр предоставления государственных и муниципальных услуг"
Номер опубликования: 2400202004060003
Дата опубликования:
06.04.2020
