Официальное опубликование правовых актов
ОФИЦИАЛЬНОЕ ОПУБЛИКОВАНИЕ
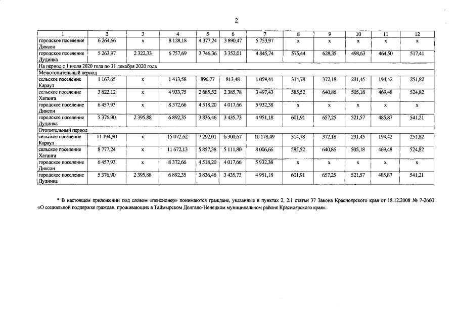
Постановление Правительства Красноярского края от 21.01.2020 № 20-п
"Об утверждении региональных стандартов стоимости жилищно-коммунальных услуг для Таймырского Долгано-Ненецкого муниципального района на 2020 год"
Номер опубликования: 2400202001270011
Дата опубликования: 27.01.2020
Страница №4 из 8:
Увеличить